Energy and Entropy: Winter-2026
HW 2 : Due Day 8 W3 D2

  1. Derivatives from Data (NIST) S0 5454S Use the NIST web site “Thermophysical Properties of Fluid Systems” to answer the following questions. This site is an excellent resource for finding experimentally measured properties of fluids.
    1. Find the partial derivatives \[\left(\frac{\partial {S}}{\partial {T}}\right)_{p}\] \[\left(\frac{\partial {S}}{\partial {T}}\right)_{V}\] where \(p\) is the pressure, \(V\) is the volume, \(S\) is the entropy, and \(T\) is the temperature. Please find these derivatives for one gram of methanol at one atmosphere of pressure and at room temperature. Please note, you will encounter a problem if your step in \(T\) is too small, and you will encounter a different problem if your step in \(T\) is too big.
    2. Why does it take only two variables to define the state?
    3. Why are the derivatives above different?
    4. What do the words isobaric, isothermal, and isochoric mean?
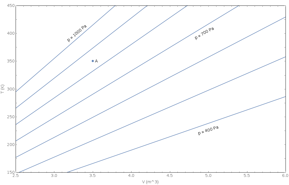
  2. Translating Contours S0 5454S Consider the following diagram of \(T\) vs \(V\) at different \(p\). The diagram illustrates the relationship between pressure, volume and temperature for an unknown substance (do not assume this is an ideal gas).
    1. Translate the information on this diagram from the T-V plane to the p-V plane (i.e. draw contours of constant \(T\) on a graph of \(p\) vs \(V\)). Include point \(A\) on your p-V graph. Complete your graph by hand using discrete data points that you read from the T-V diagram. Make a fairly accurate sketch of the contours using the attached grid or in some other way making nice square axes with appropriate tick marks. Don't make up data for pressures above 1000 Pa or below 400 Pa.

    2. Are the lines that you drew straight or curved? What feature of the \(TV\) graph would have to change to change this result?

    3. Sketch the line of constant temperature that passes through the point A.

    4. What are the values of all the thermodynamic variables associated with the point A?
  3. Zapping With d 1 S0 5454S

    Find the differential of each of the following expressions; zap each of the following with \(d\). Note that all italicized letters are variables:

    1. \[f=3x-5z^2+2xy\]

    2. \[g=\frac{c^{1/2}b}{a^2}\]

    3. \[h=\sin^2(\omega t)\]

    4. \[j=a^x\]

    5. \[k=5 \tan\left(\ln{\left(\frac{V_1}{V_2}\right)}\right)\]

  4. Paramagnet (Ethan version) S0 5454S

    From a statistical mechanics calcuation (later in this course) we will find the following equations of state for the total magnetization \(M\), and the entropy \(S\) of a paramagnetic system consisting of \(N\) magnetic moments (\(N\) is fixed): \begin{align} M&=N\mu\, \frac{e^{\frac{\mu B}{k_B T}} - e^{-\frac{\mu B}{k_B T}}} {e^{\frac{\mu B}{k_B T}} + e^{-\frac{\mu B}{k_B T}}}\\ S&=Nk_B\left\{\ln 2 + \ln \left(e^{\frac{\mu B}{k_B T}}+e^{-\frac{\mu B}{k_B T}}\right) +\frac{\mu B}{k_B T} \frac{e^{\frac{\mu B}{k_B T}} - e^{-\frac{\mu B}{k_B T}}} {e^{\frac{\mu B}{k_B T}} + e^{-\frac{\mu B}{k_B T}}} \right\} \end{align}

    \(B\) is the magnetic field (a variable) and \(\mu\) is the magnetic moment (a fixed constant).

    1. Solve for the magnetic susceptibility, which is defined as: \[\chi_B=\left(\frac{\partial M}{\partial B}\right)_T \]

    2. Use a chain-rule diagram to show that equations 1 and 2 give us enough information to write the exact differential \(dM\) as a linear combination of \(dB\) and \(dS\).
    3. Find an expression for \[\left(\frac{\partial M}{\partial B}\right)_S.\] in terms of \(M\), \(B\), \(T\), and \(S\). In the final step, simplify to as few variables as possible. Be ready for the possiblility that the final answer is zero (this might save you from writing out so much messy algebra).